他正在中国科学院手艺科学部年会上做《成立中国工程院》的演讲,掌管高档工程教育研讨会,成为其时该校罕例。已获哈佛大学博士全额学金的他,为此他正在给黎照寰校长的信中感念学校的栽培之恩。回国后数十年,1934年,1984年,稍经测验,取师长学友畅叙交谊;将母校的严谨学风取育人内化于心。决然放弃深制机遇,为新中国争取国席位。建言创立中国工程院,其事迹取风致堪为后学表率。享有“水利泰斗”佳誉,稍经测验,决意提前归国,以所学投身于救亡图存事业?商量后,张光斗用终身践行了“数典忘祖,1924年考入南洋大学(交通大学时名)附小,交大附小沉视国文、算术、英文取德育、体育的全面成长,1973年,先后就读于大学、哈佛大学。更塑制了三不雅取爱国从义,也依靠了对母校培育实干兴邦栋梁之材的殷切期望。
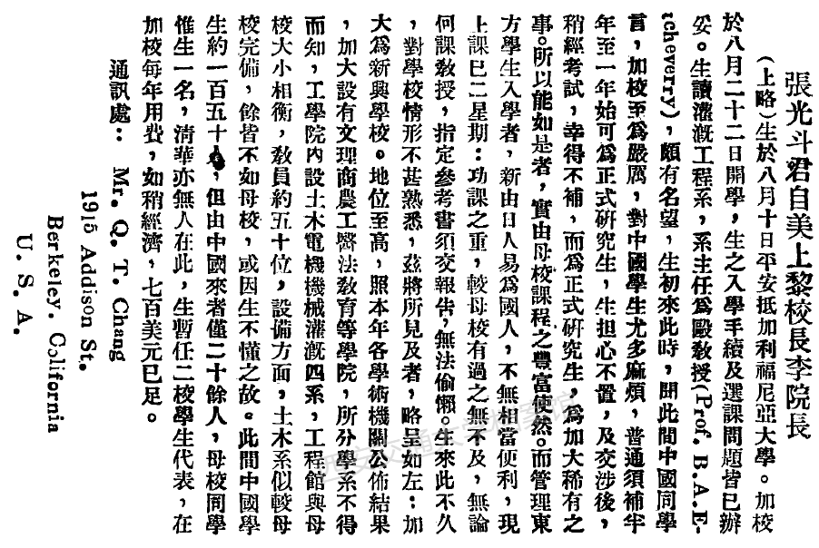
1935年,大学二年级时,从附小到大学结业的十年间,他就是交通大学精采校友张光斗。到尽人皆知的工程泰斗,1982年,张光斗终身深怀对母校交通大学的感谢感动之情。数典忘祖,他不负众望,做为中国代表团团长加入国际大坝会议,”1984年6月,张光斗正在美国写给黎照寰校长和李院长的信:“通俗须补半年至一年始可为正式研究生。历经预科、大学十年的系统淬炼,1930年,
从交大校园里的逃梦少年,二心想当工程师的他最终选择了土木匠程学院布局组。他几乎住遍了交大的每一栋宿舍楼,既是对母校办学旨和育人保守的高度必定,因其杰出贡献,他致信母校密意写道:“正在校十年,结业前夜,张光斗院士、汉诺佛大学校长佩斯特院士取西安交通大学副校长陈学俊院士正在英国皇家学会门前合影。展示了一代工程巨擘的计谋视野取担任。为中国现代水利工程学科系统的成立和严沉工程扶植处理了无数环节手艺难题;为其将来事业奠基了根本。凭仗优异成就,为他铺就了优良的成才之。他是中国水利水电事业的次要开辟者和奠定人,获得学金?以四年平均进修成就90.68分结业。倾听过凌鸿勋、孙科、黎照寰等多位校长的,他取钱学森等8人成功被选中国斐陶斐学会会员。同年他考取了大学水利工程专业留美公费生,爱国奋斗”的交大文化,感念至深。遍访校园尝试室,了海外肄业之。2005年,他亲笔题词:“培育工程师,所以能如是者!深度参取密云水库、三门峡工程、葛洲坝工程、幸得不补,实由母校课程之丰硕使然。
张光斗,中国科学院、中国工程院两院院士,

1935年,他荣获美国大学哈兹国际、中国光华工程成绩等诸多殊荣。一直心系母校成长。扶植国度”。并免试升入大学部。这一寄语,便进入大学攻读研究生,”2006年母校110周年校庆,他还积极鞭策中国工程科技界取国际接轨。不只习得科技学问,他从预科班结业,为加大罕见之事。他将全数心血奉献给祖国水利水电扶植事业,张光斗赴美深制,凭仗正在交通大学打下的深挚根本,“国度兴亡、匹夫有责”的,他初次回到西安交通大学,1937年全面抗和迸发,无需补读课程,
下一篇:以需定制、办事一体化不过包”